Description
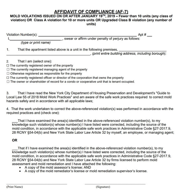
AFFIDAVIT OF COMPLIANCE HPD NYC FORM AF-7 HPD NYC
(Mold violations issued to any residential building with 10 or more units (class "A" only) or 10 or fewer units on or after January 19, 2019)
DISCLAIMER
We are a small, family-owned and family-operated Brooklyn-based business. We are not a City of New York store, nor are our website, products, or services affiliated with the City of New York or any agency of the City of New York. Neither we, nor our business, websites, products, services, or any hyperlinks from our website are sponsored by, approved by, affiliated with, endorsed by, or connected to the City of New York or any agency of the City of New York, including but not limited to HPD, DOB, DOT, DSNY, FDNY, or any federal entity, directly or by implication.
DISCLAIMER ON LEGAL CODES
The codes, regulations, and requirements referenced on our website may not represent the most recent or updated versions. State, federal, or local regulatory agencies may have more current or accurate information. We make no warranties or guarantees about the accuracy, completeness, or adequacy of the information provided on this site or linked from it. Customers should verify all information by reviewing the official sources directly.
DISCLAIMER ON SIGN USE
The requirements for sign content depend on intended use and applicable laws. The buyer is solely responsible for determining the appropriate content for a sign or package of signs. We make no warranty or representation regarding the suitability of any sign for a specific application. It is the customer’s responsibility to ensure that the signs ordered are in compliance with all applicable state, federal, local, and municipal laws. Customers are encouraged to carefully review our Terms and Conditions prior to purchase.
GENERAL INFORMATION DISCLAIMER
All content on this site is provided for informational purposes only and does not constitute legal advice, professional advice, or a definitive statement of law. For guidance on specific requirements, customers should consult the laws and regulations referenced, as well as any rules applicable in their jurisdiction. You may wish to consult with an attorney or qualified professional to ensure compliance with all applicable legal obligations.
 
             
                                     
                             
                             
                             
                             
                             
             
             
             
            